Официальное опубликование правовых актов
ОФИЦИАЛЬНОЕ ОПУБЛИКОВАНИЕ
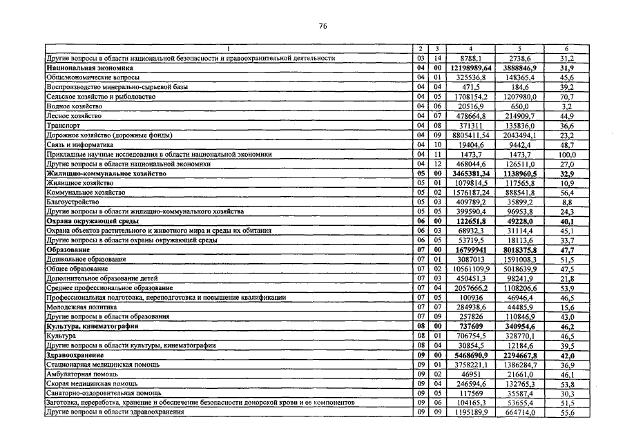
Постановление Правительства Кировской области от 24.08.2021 № 444-П
"Об утверждении отчета об исполнении областного бюджета за первое полугодие 2021 года"
Номер опубликования: 4300202108250005
Дата опубликования: 25.08.2021
Страница №77 из 91:
Увеличить