Официальное опубликование правовых актов
ОФИЦИАЛЬНОЕ ОПУБЛИКОВАНИЕ
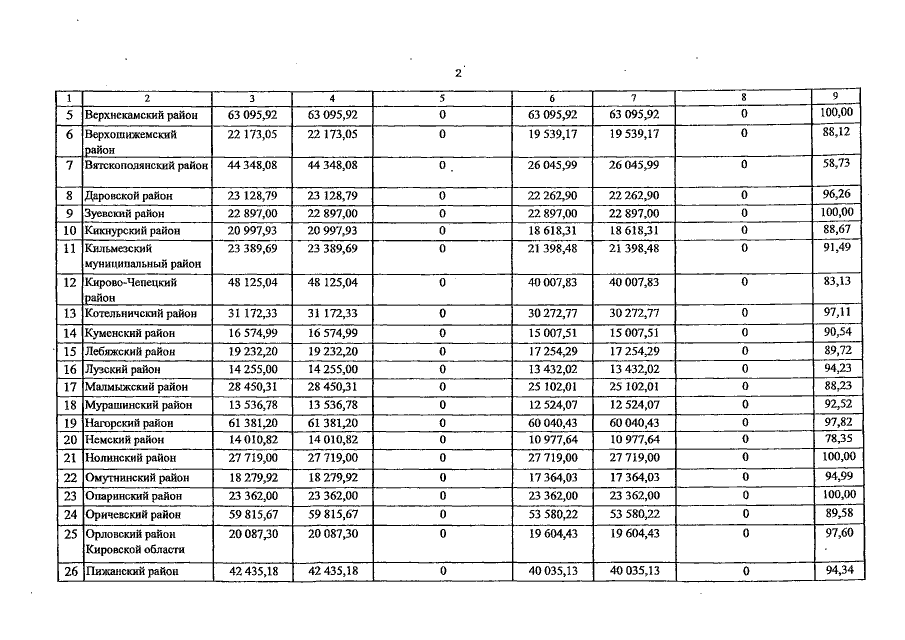
Закон Кировской области от 10.06.2021 № 480-ЗО
"Об исполнении областного бюджета за 2020 год"
Номер опубликования: 4300202106150002
Дата опубликования: 15.06.2021
Страница №342 из 422:
Увеличить