Официальное опубликование правовых актов
ОФИЦИАЛЬНОЕ ОПУБЛИКОВАНИЕ
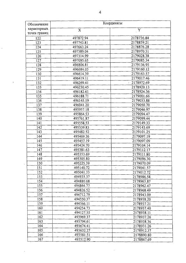
Постановление Правительства Кировской области от 30.03.2021 № 140-П
"Об объявлении Южно-таежного комплекса елово-пихтовых лесов "Ошеть" памятником природы регионального значения"
Номер опубликования: 4300202104010003
Дата опубликования: 01.04.2021
Страница №5 из 27:
Увеличить