Официальное опубликование правовых актов
ОФИЦИАЛЬНОЕ ОПУБЛИКОВАНИЕ
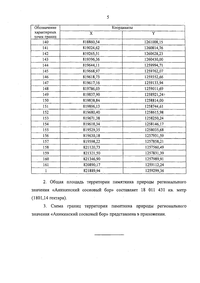
Постановление Правительства Кировской области от 26.01.2021 № 29-П
"Об утверждении границ территорий памятников природы регионального значения в Лузском районе"
Номер опубликования: 4300202102010013
Дата опубликования: 01.02.2021
Страница №7 из 61:
Увеличить