Официальное опубликование правовых актов
ОФИЦИАЛЬНОЕ ОПУБЛИКОВАНИЕ
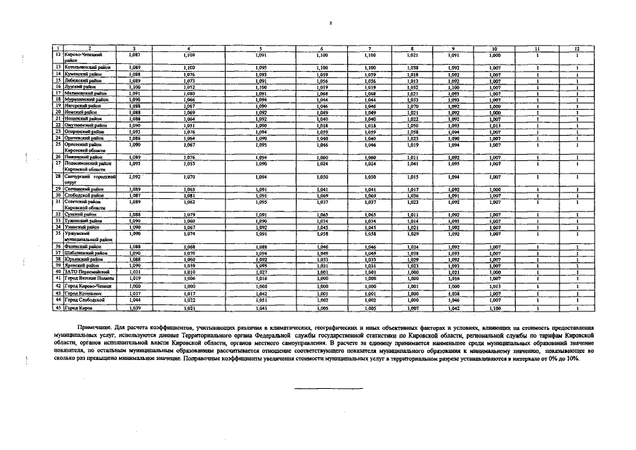
Постановление Правительства Кировской области от 25.12.2019 № 699-П
"Об утверждении отдельных показателей для формирования проекта областного бюджета и определения межбюджетных трансфертов на 2020 год и на плановый период 2021 и 2022 годов"
Номер опубликования: 4300201912270028
Дата опубликования: 27.12.2019
Страница №12 из 31:
Увеличить