Официальное опубликование правовых актов
ОФИЦИАЛЬНОЕ ОПУБЛИКОВАНИЕ
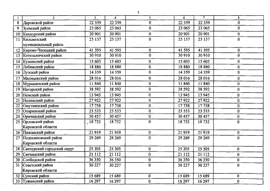
Закон Кировской области от 19.12.2019 № 325-ЗО
"Об областном бюджете на 2020 год и на плановый период 2021 и 2022 годов"
Номер опубликования: 4300201912240006
Дата опубликования: 24.12.2019
Страница №626 из 676:
Увеличить