Официальное опубликование правовых актов
ОФИЦИАЛЬНОЕ ОПУБЛИКОВАНИЕ
Постановление Правительства Кировской области от 10.10.2019 № 530-П
"О внесении изменения в постановление Правительства Кировской области от 09.11.2015 № 69/730"
Номер опубликования: 4300201910160004
Дата опубликования: 16.10.2019
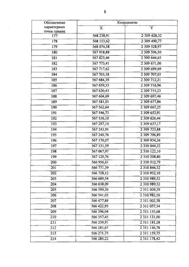
Страница №7 из 14:
Увеличить