Официальное опубликование правовых актов
ОФИЦИАЛЬНОЕ ОПУБЛИКОВАНИЕ
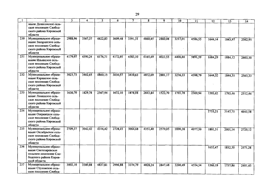
Постановление Правительства Кировской области от 10.10.2019 № 529-П
"О внесении изменения в постановление Правительства Кировской области от 28.06.2018 № 312-П"
Номер опубликования: 4300201910150023
Дата опубликования: 15.10.2019
Страница №30 из 40:
Увеличить