Официальное опубликование правовых актов
ОФИЦИАЛЬНОЕ ОПУБЛИКОВАНИЕ
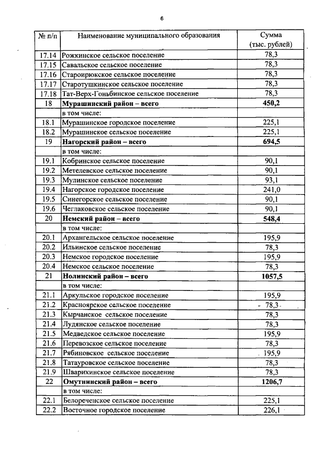
Закон Кировской области от 03.10.2019 № 286-ЗО
"О внесении изменений в Закон Кировской области "Об областном бюджете на 2019 год и на плановый период 2020 и 2021 годов"
Номер опубликования: 4300201910070006
Дата опубликования: 07.10.2019
Страница №250 из 280:
Увеличить