Официальное опубликование правовых актов
ОФИЦИАЛЬНОЕ ОПУБЛИКОВАНИЕ
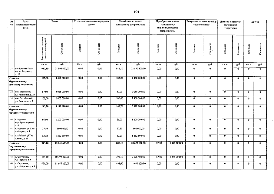
Постановление Правительства Кировской области от 20.09.2019 № 482-П
"О внесении изменений в постановление Правительства Кировской области от 18.06.2013 № 213/365"
Номер опубликования: 4300201909260017
Дата опубликования: 26.09.2019
Страница №105 из 180:
Увеличить