Официальное опубликование правовых актов
ОФИЦИАЛЬНОЕ ОПУБЛИКОВАНИЕ
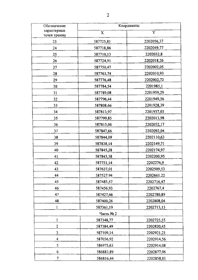
Постановление Правительства Кировской области от 20.09.2019 № 498-П
"Об утверждении границ памятников природы регионального значения "Гнездовая колония черных крачек у поселка Коминтерновский" и "Широковская старица"
Номер опубликования: 4300201909260009
Дата опубликования: 26.09.2019
Страница №3 из 11:
Увеличить