Официальное опубликование правовых актов
ОФИЦИАЛЬНОЕ ОПУБЛИКОВАНИЕ
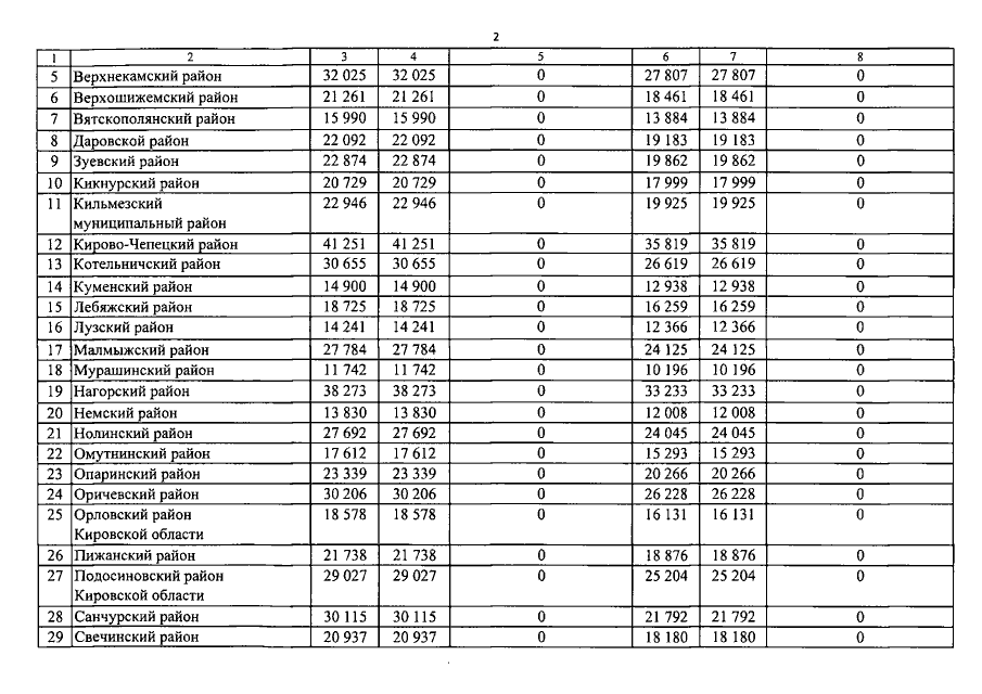
Закон Кировской области от 25.06.2019 № 267-ЗО
"О внесении изменений в Закон Кировской области "Об областном бюджете на 2019 год и на плановый период 2020 и 2021 годов"
Номер опубликования: 4300201906270002
Дата опубликования: 27.06.2019
Страница №292 из 313:
Увеличить