Официальное опубликование правовых актов
ОФИЦИАЛЬНОЕ ОПУБЛИКОВАНИЕ
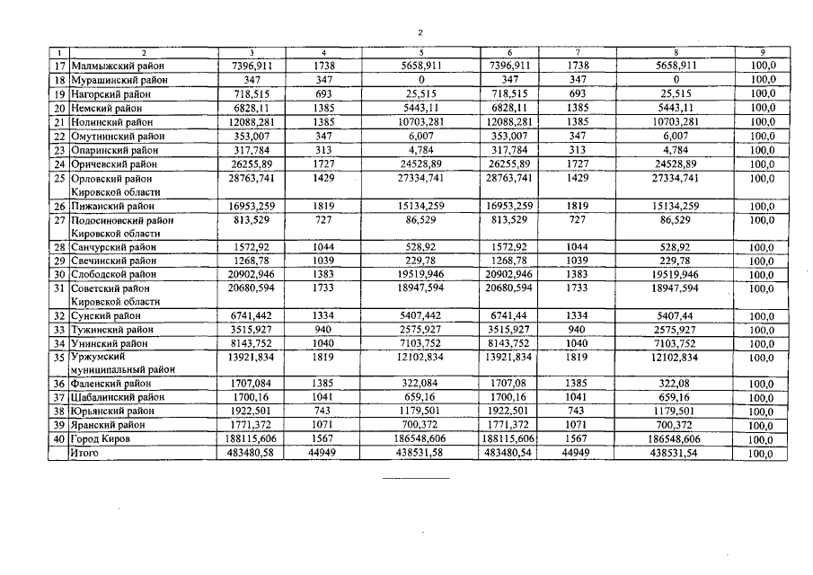
Закон Кировской области от 05.06.2019 № 265-ЗО
"Об исполнении областного бюджета за 2018 год"
Номер опубликования: 4300201906070005
Дата опубликования: 07.06.2019
Страница №183 из 290:
Увеличить