Официальное опубликование правовых актов
ОФИЦИАЛЬНОЕ ОПУБЛИКОВАНИЕ
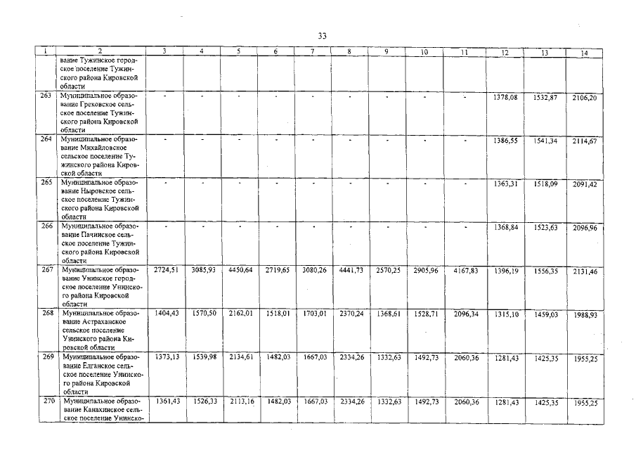
Постановление Правительства Кировской области от 11.04.2019 № 182-П
"О внесении изменения в постановление Правительства Кировской области от 28.06.2018 № 312-П"
Номер опубликования: 4300201904150001
Дата опубликования: 15.04.2019
Страница №34 из 41:
Увеличить