Официальное опубликование правовых актов
ОФИЦИАЛЬНОЕ ОПУБЛИКОВАНИЕ
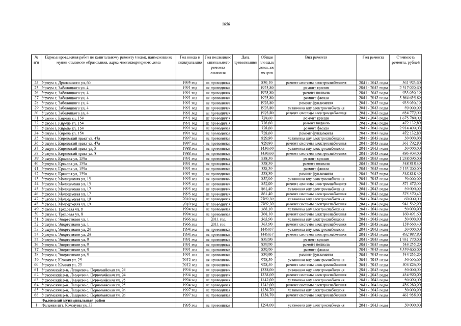
Постановление Правительства Кировской области от 01.04.2019 № 127-П
"О внесении изменений в постановление Правительства Кировской области от 21.03.2014 № 254/210"
Номер опубликования: 4300201904080001
Дата опубликования: 08.04.2019
Страница №1657 из 1708:
Увеличить