Официальное опубликование правовых актов
ОФИЦИАЛЬНОЕ ОПУБЛИКОВАНИЕ
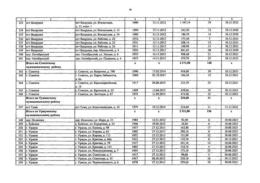
Постановление Правительства Кировской области от 27.03.2019 № 113-П
"Об областной адресной программе "Переселение граждан, проживающих на территории Кировской области, из аварийного жилищного фонда, признанного таковым до 1 января 2017 года" на 2019 – 2025 годы"
Номер опубликования: 4300201904040001
Дата опубликования: 04.04.2019
Страница №57 из 64:
Увеличить