Официальное опубликование правовых актов
ОФИЦИАЛЬНОЕ ОПУБЛИКОВАНИЕ
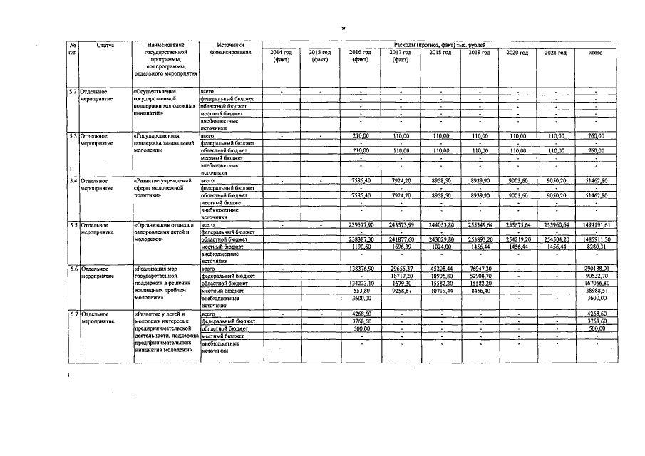
Постановление Правительства Кировской области от 31.01.2019 № 35-П
"О внесении изменений в постановление Правительства Кировской области от 10.09.2013 № 226/595"
Номер опубликования: 4300201902050002
Дата опубликования: 05.02.2019
Страница №98 из 121:
Увеличить