Официальное опубликование правовых актов
ОФИЦИАЛЬНОЕ ОПУБЛИКОВАНИЕ
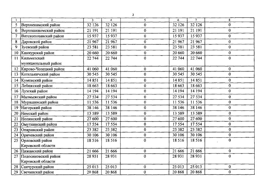
Закон Кировской области от 18.12.2018 № 210-ЗО
"Об областном бюджете на 2019 год и на плановый период 2020 и 2021 годов"
Номер опубликования: 4300201812210003
Дата опубликования: 21.12.2018
Страница №545 из 573:
Увеличить