Официальное опубликование правовых актов
ОФИЦИАЛЬНОЕ ОПУБЛИКОВАНИЕ
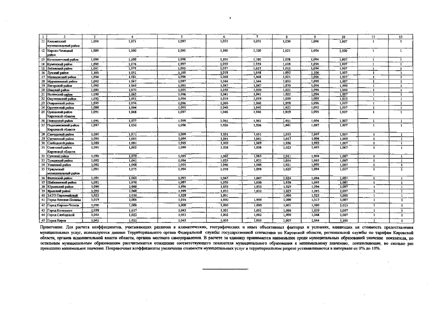
Постановление Правительства Кировской области от 27.11.2018 № 550-П
"Об утверждении отдельных показателей для формирования проекта областного бюджета и определения межбюджетных трансфертов на 2019 год и на плановый период 2020 и 2021 годов"
Номер опубликования: 4300201811300006
Дата опубликования: 30.11.2018
Страница №12 из 32:
Увеличить