Официальное опубликование правовых актов
ОФИЦИАЛЬНОЕ ОПУБЛИКОВАНИЕ
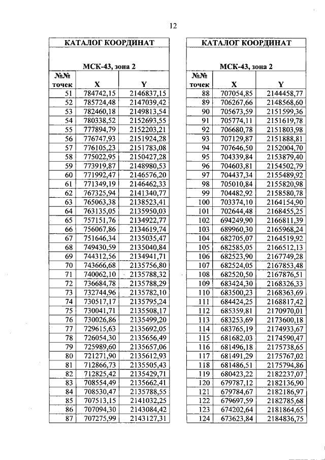
Закон Кировской области от 23.11.2018 № 195-ЗО
"Об утверждении Соглашения между Кировской областью и Республикой Коми об описании местоположения границы между Кировской областью и Республикой Коми"
Номер опубликования: 4300201811260007
Дата опубликования: 26.11.2018
Страница №13 из 23:
Увеличить