Официальное опубликование правовых актов
ОФИЦИАЛЬНОЕ ОПУБЛИКОВАНИЕ
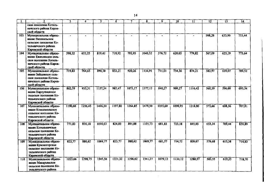
Постановление Правительства Кировской области от 28.06.2018 № 312-П
"Об установлении сезонных региональных стандартов стоимости жилищно-коммунальных услуг для предоставления субсидий на оплату жилого помещения и коммунальных услуг по муниципальным образованиям области"
Номер опубликования: 4300201807040014
Дата опубликования: 04.07.2018
Страница №56 из 82:
Увеличить