Официальное опубликование правовых актов
ОФИЦИАЛЬНОЕ ОПУБЛИКОВАНИЕ
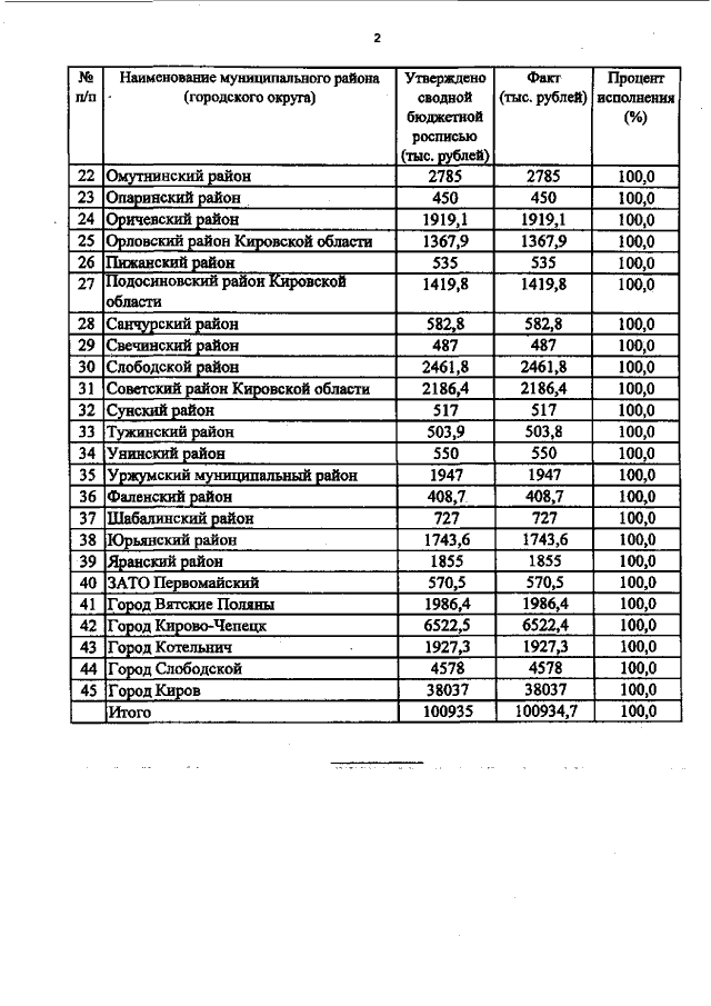
Закон Кировской области от 18.06.2018 № 166-ЗО
"Об исполнении областного бюджета за 2017 год"
Номер опубликования: 4300201806190005
Дата опубликования: 19.06.2018
Страница №195 из 275:
Увеличить