Официальное опубликование правовых актов
ОФИЦИАЛЬНОЕ ОПУБЛИКОВАНИЕ
Постановление Правительства Кировской области от 06.03.2018 № 107-П
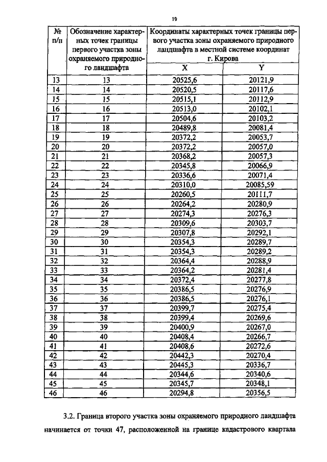
"Об утверждении границ зон охраны объекта культурного наследия (памятника истории и культуры) народов Российской Федерации регионального значения "Спасский собор с двумя палатками на паперти", входящего в состав объекта культурного наследия (памятника истории и культуры) народов Российской Федерации регионального значения "Ансамбль площади", особых режимов использования земель в границах территорий данных зон и требований к градостроительным регламентам в границах территорий данных зон"
Номер опубликования: 4300201803120006
Дата опубликования: 12.03.2018
Страница №22 из 40:
Увеличить