Официальное опубликование правовых актов
ОФИЦИАЛЬНОЕ ОПУБЛИКОВАНИЕ
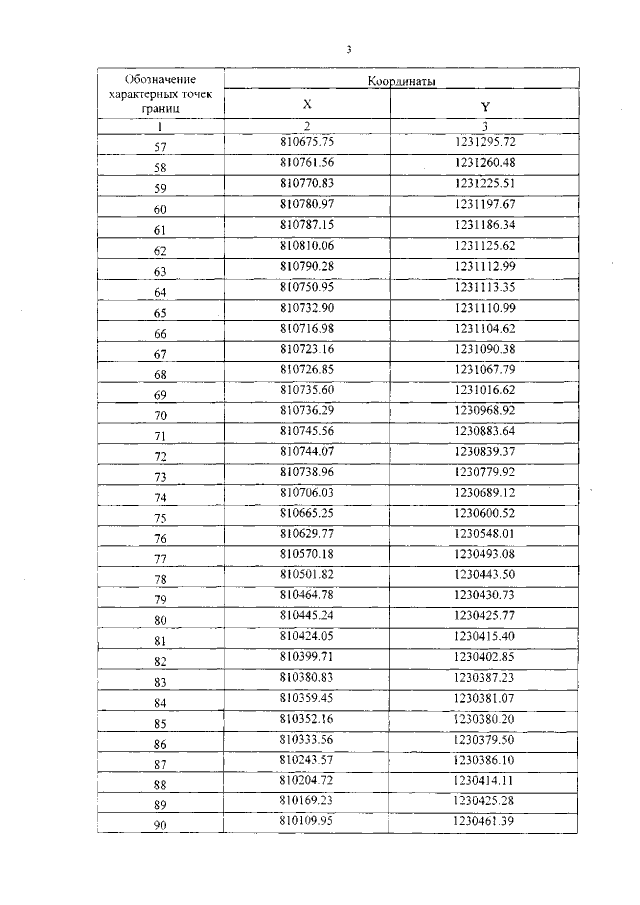
Постановление Правительства Кировской области от 08.02.2017 № 44/74
"Об утверждении границ памятников природы регионального значения "Озеро "Усталец" и "Лесопарк "Усталец"
Номер опубликования: 4300201702090003
Дата опубликования: 09.02.2017
Страница №4 из 12:
Увеличить