Официальное опубликование правовых актов
ОФИЦИАЛЬНОЕ ОПУБЛИКОВАНИЕ
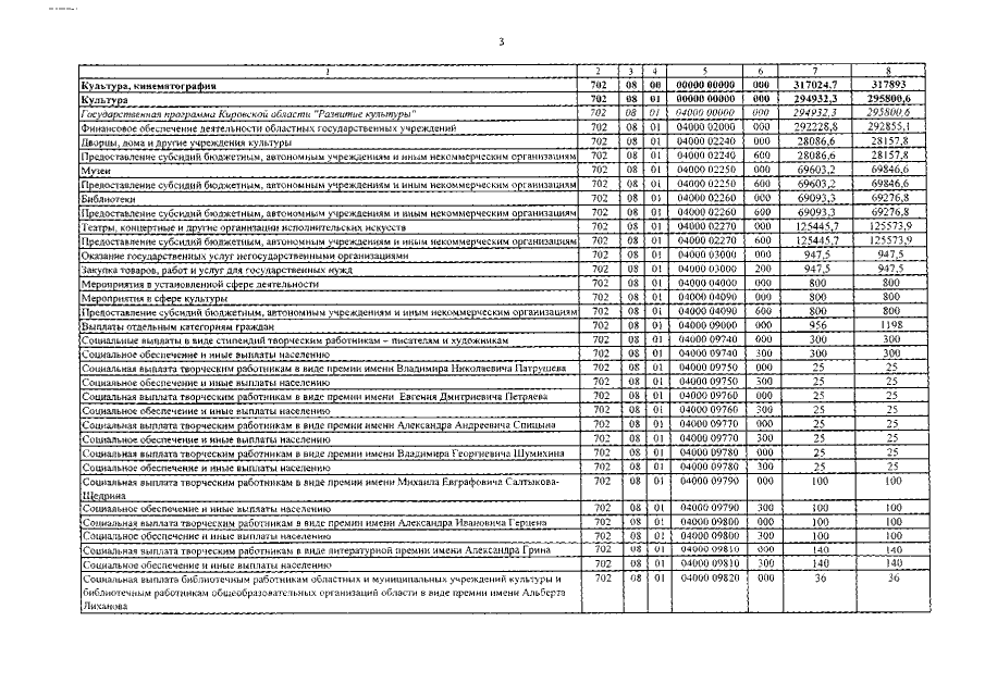
Закон Кировской области от 30.11.2016 № 21-ЗО
"Об областном бюджете на 2017 год и на плановый период 2018 и 2019 годов"
Номер опубликования: 4300201612050004
Дата опубликования: 05.12.2016
Страница №336 из 466:
Увеличить