Постановление Правительства Кировской области от 08.12.2015 № 73/812
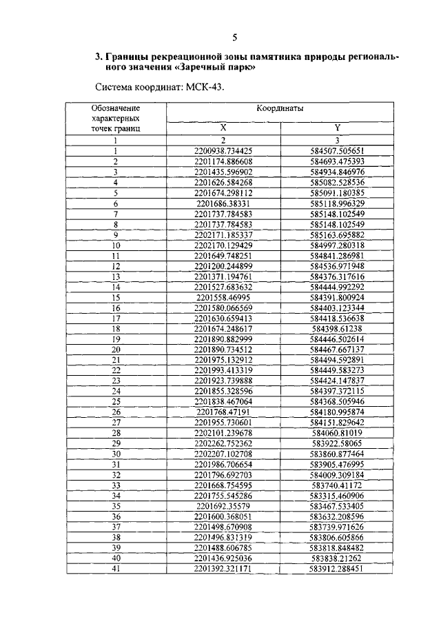
"Об утверждении границ и режима особой охраны территории памятника природы регионального значения "Заречный парк"
"Об утверждении границ и режима особой охраны территории памятника природы регионального значения "Заречный парк"
Номер опубликования: 4300201512110005
Дата опубликования:
11.12.2015
