Официальное опубликование правовых актов
ОФИЦИАЛЬНОЕ ОПУБЛИКОВАНИЕ
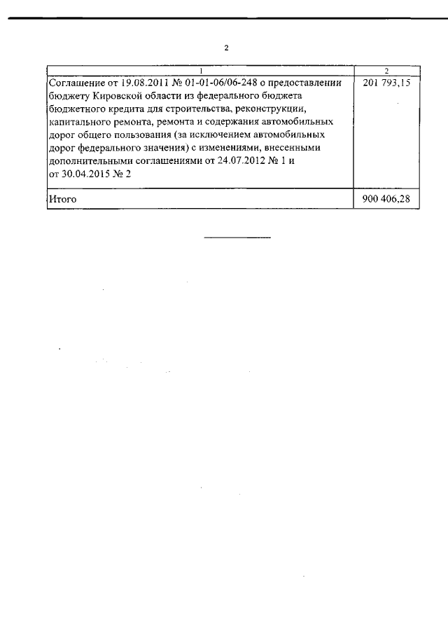
Закон Кировской области от 08.12.2015 № 598-ЗО
"Об областном бюджете на 2016 год"
Номер опубликования: 4300201512090005
Дата опубликования: 09.12.2015
Страница №297 из 299:
Увеличить