Официальное опубликование правовых актов
ОФИЦИАЛЬНОЕ ОПУБЛИКОВАНИЕ
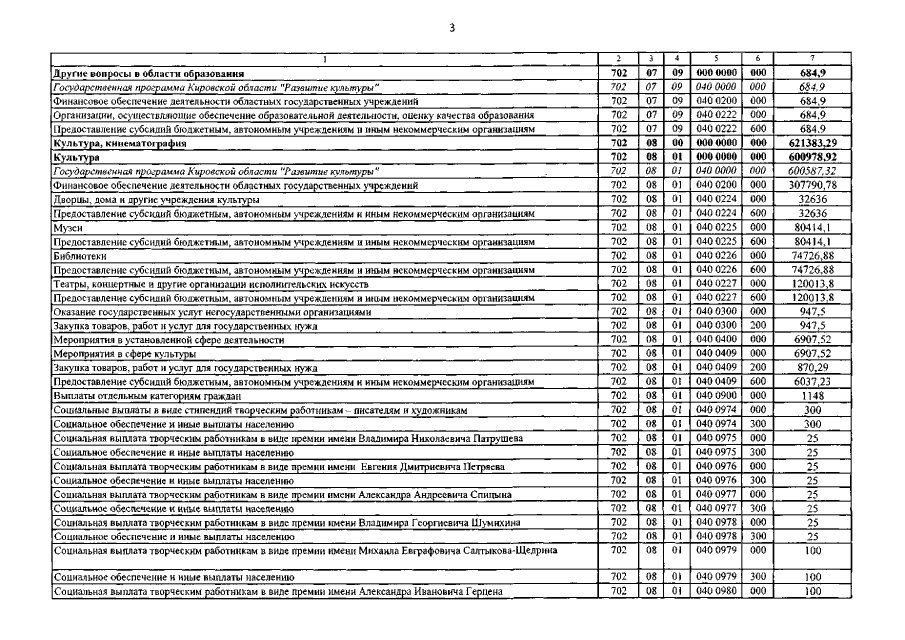
Закон Кировской области от 24.09.2015 № 563-ЗО
"О внесении изменений в Закон Кировской области "Об областном бюджете на 2015 год и на плановый период 2016 и 2017 годов"
Номер опубликования: 4300201509280004
Дата опубликования: 28.09.2015
Страница №129 из 367:
Увеличить