Официальное опубликование правовых актов
ОФИЦИАЛЬНОЕ ОПУБЛИКОВАНИЕ
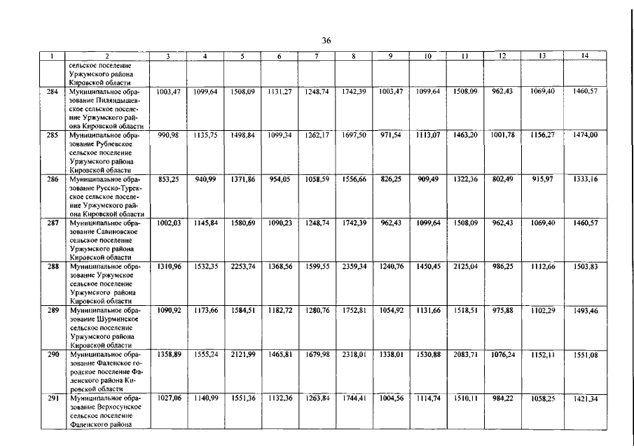
Постановление Правительства Кировской области от 09.02.2015 № 24/67
"Об установлении областного стандарта стоимости жилищно-коммунальных услуг для предоставления субсидий на оплату жилого помещения и коммунальных услуг в месяц по муниципальным образованиям области на 2015 год"
Номер опубликования: 4300201502090003
Дата опубликования: 09.02.2015
Страница №38 из 43:
Увеличить