Официальное опубликование правовых актов
ОФИЦИАЛЬНОЕ ОПУБЛИКОВАНИЕ
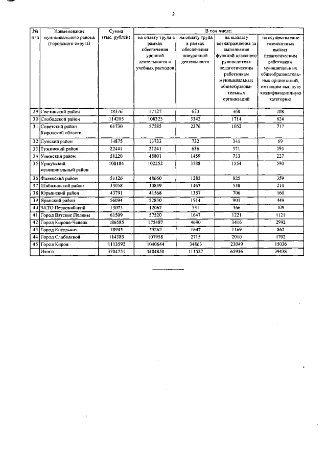
Закон Кировской области от 04.12.2014 № 480-ЗО
"Об областном бюджете на 2015 год и на плановый период 2016 и 2017 годов"
Номер опубликования: 4300201412100001
Дата опубликования: 10.12.2014
Страница №484 из 503:
Увеличить