Официальное опубликование правовых актов
ОФИЦИАЛЬНОЕ ОПУБЛИКОВАНИЕ
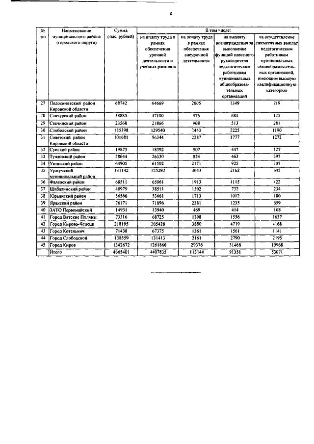
Закон Кировской области от 30.10.2014 № 465-ЗО
"О внесении изменений в Закон Кировской области "Об областном бюджете на 2014 год и на плановый период 2015 и 2016 годов"
Номер опубликования: 4300201411050002
Дата опубликования: 05.11.2014
Страница №202 из 205:
Увеличить