Официальное опубликование правовых актов
ОФИЦИАЛЬНОЕ ОПУБЛИКОВАНИЕ
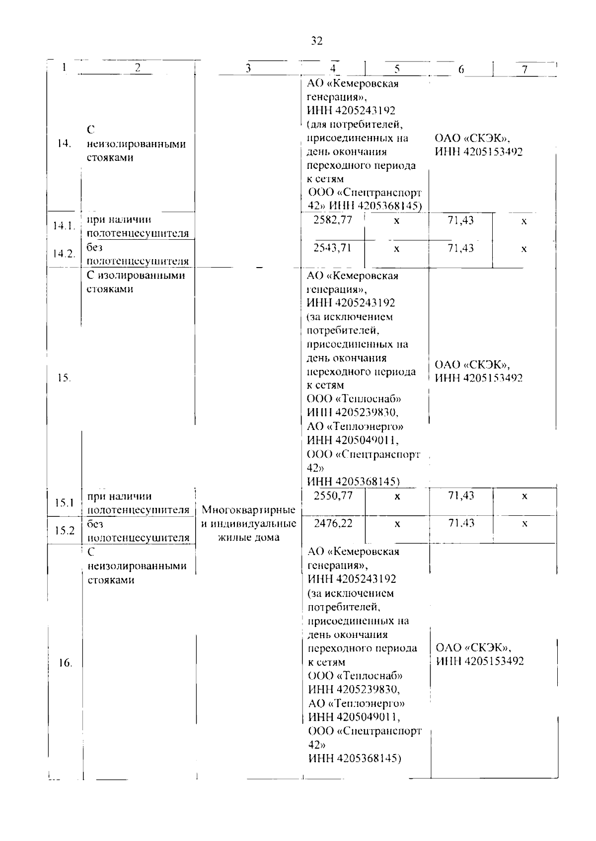
Постановление Региональной энергетической комиссии Кузбасса от 29.12.2025 № 882
"Об установлении льготных цен (тарифов) на холодное, горячее водоснабжение, водоотведение, тепловую энергию (мощность), твердое топливо, сжиженный газ на территории Кемеровского городского округа"
(Зарегистрирован 29.12.2025 № 17112524224)
Номер опубликования: 4201202601050053
Дата опубликования: 05.01.2026
Страница №32 из 35:
Увеличить