Официальное опубликование правовых актов
ОФИЦИАЛЬНОЕ ОПУБЛИКОВАНИЕ
Постановление Региональной энергетической комиссии Кузбасса от 18.12.2025 № 632
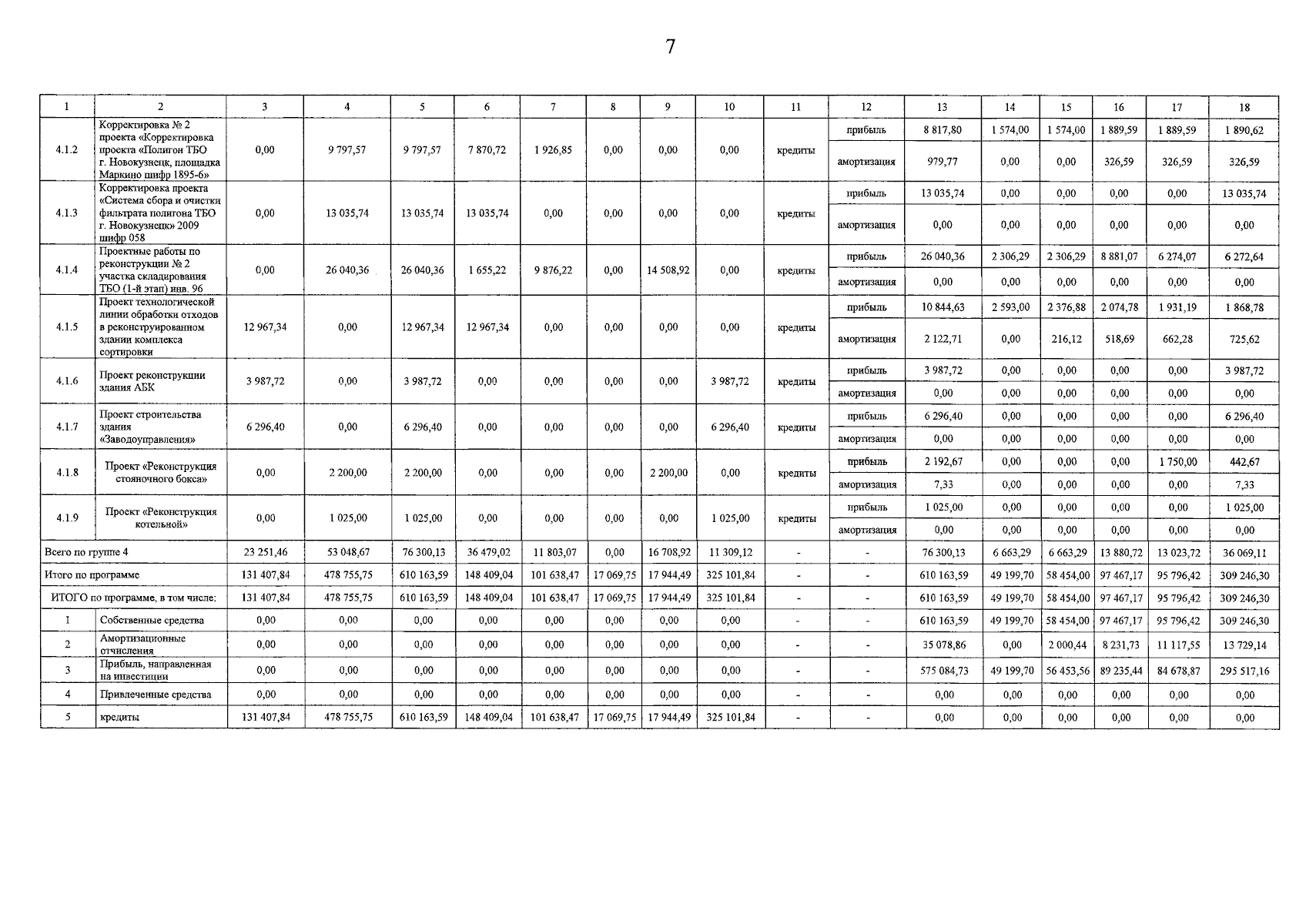
"О внесении изменений в постановление Региональной энергетической комиссии Кузбасса от 30.11.2020 № 464 "Об утверждении инвестиционной программы ООО "ЭкоЛэнд" (Новокузнецкий городской округ), в области обращения с твердыми коммунальными отходами на 2021 - 2025 годы"
(Зарегистрирован 19.12.2025 № 14602524224)
Номер опубликования: 4201202512240012
Дата опубликования: 24.12.2025
Страница №7 из 8:
Увеличить