Официальное опубликование правовых актов
ОФИЦИАЛЬНОЕ ОПУБЛИКОВАНИЕ
Постановление Региональной энергетической комиссии Кузбасса от 11.12.2025 № 447
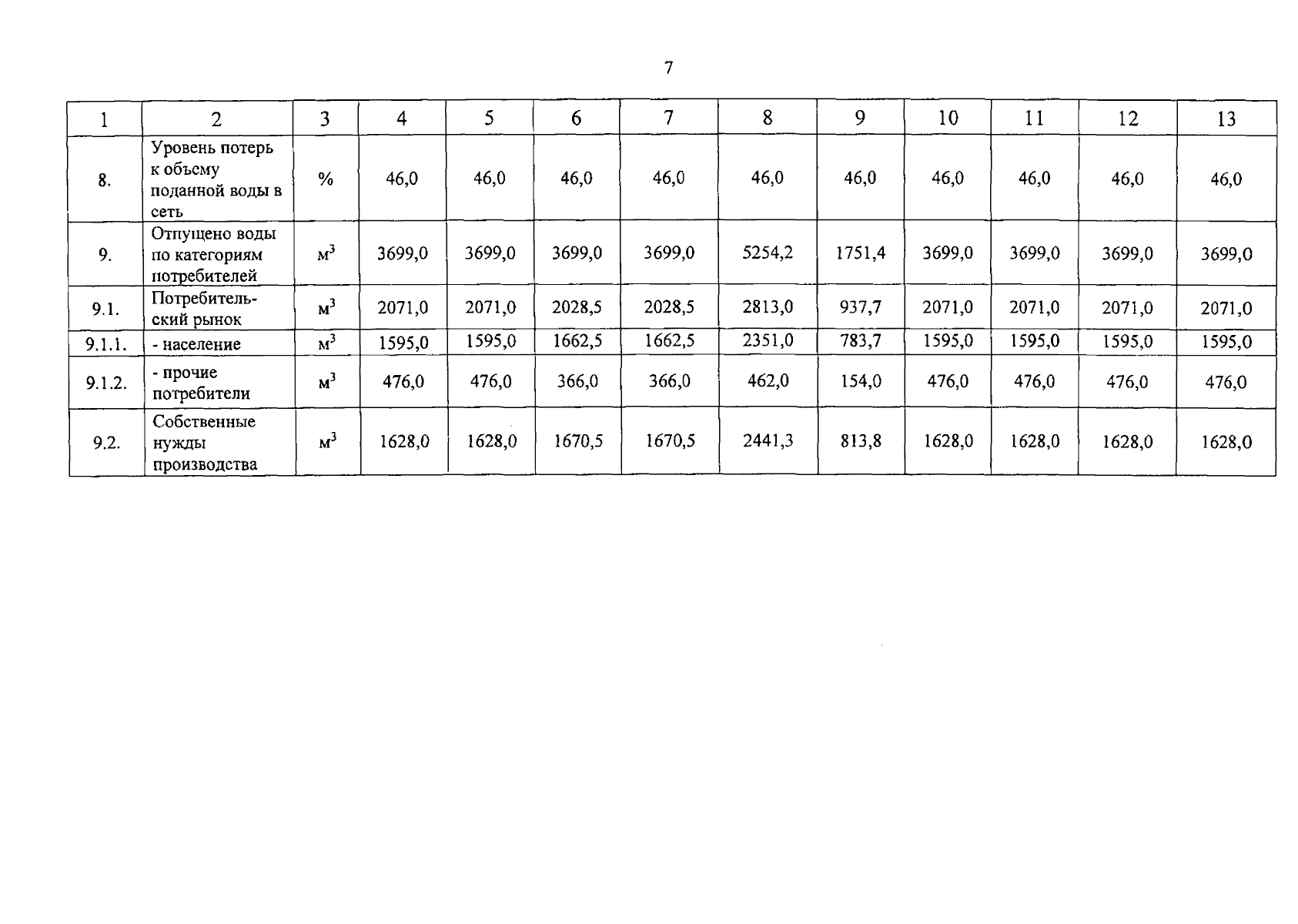
"О внесении изменений в постановление Региональной энергетической комиссии Кузбасса от 21.11.2023 № 342 "Об утверждении производственной программы в сфере холодного водоснабжения и об установлении тарифов на питьевую воду ОАО "РЖД" (Центральная дирекция по тепловодоснабжению Красноярская дирекция по тепловодоснабжению) (Междуреченский муниципальный округ)" в части 2026 года"
(Зарегистрирован 12.12.2025 № 12782524224)
Номер опубликования: 4201202512170011
Дата опубликования: 17.12.2025
Страница №7 из 17:
Увеличить