Официальное опубликование правовых актов
ОФИЦИАЛЬНОЕ ОПУБЛИКОВАНИЕ
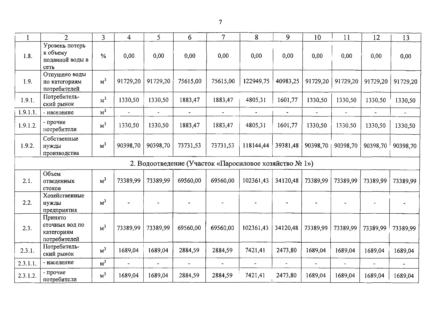
Постановление Региональной энергетической комиссии Кузбасса от 11.12.2025 № 451
"О внесении изменений в постановление Региональной энергетической комиссии Кузбасса от 08.11.2023 № 251 "Об утверждении производственной программы в сфере холодного водоснабжения технической водой, водоотведения и об установлении тарифов на техническую воду, водоотведение АО "Угольная компания "Кузбассразрезуголь" (филиал "Талдинский угольный разрез") (Прокопьевский муниципальный округ)" в части 2026 года"
(Зарегистрирован 12.12.2025 № 12832524224)
Номер опубликования: 4201202512170006
Дата опубликования: 17.12.2025
Страница №7 из 19:
Увеличить