Постановление Региональной энергетической комиссии Кузбасса от 09.12.2025 № 424
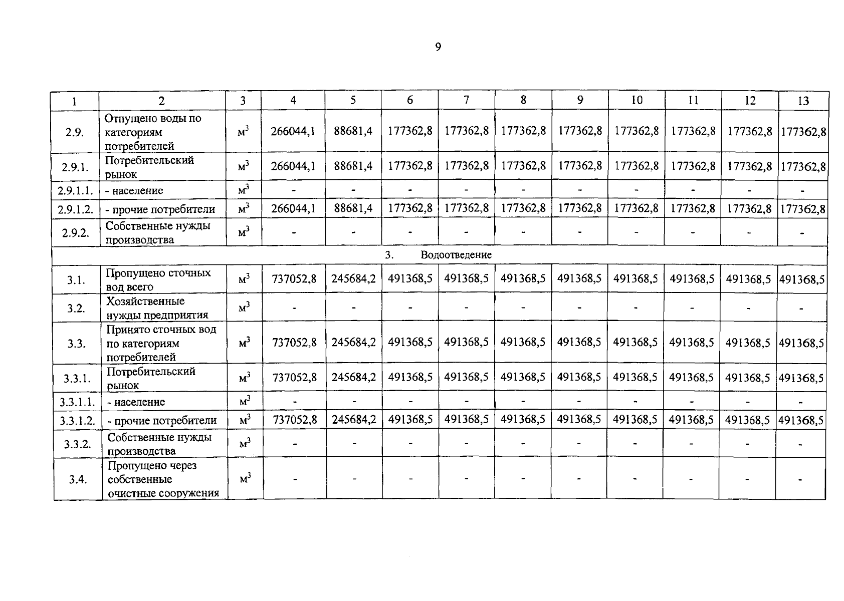
"Об утверждении производственной программы в сфере холодного водоснабжения, водоотведения и об установлении тарифов на питьевую воду (подъем и водоподготовка), транспортировку технической воды (перекачка технической воды через водопроводно-повысительную станцию), транспортировку сточных вод (перекачка стоков через насосные перекачивающие станции) ООО "СибДорСтрой" (г. Топки Топкинского муниципального округа)"
(Зарегистрирован 10.12.2025 № 12202524224)
"Об утверждении производственной программы в сфере холодного водоснабжения, водоотведения и об установлении тарифов на питьевую воду (подъем и водоподготовка), транспортировку технической воды (перекачка технической воды через водопроводно-повысительную станцию), транспортировку сточных вод (перекачка стоков через насосные перекачивающие станции) ООО "СибДорСтрой" (г. Топки Топкинского муниципального округа)"
(Зарегистрирован 10.12.2025 № 12202524224)
Номер опубликования: 4201202512160026
Дата опубликования:
16.12.2025
