Постановление Региональной энергетической комиссии Кузбасса от 20.11.2025 № 348
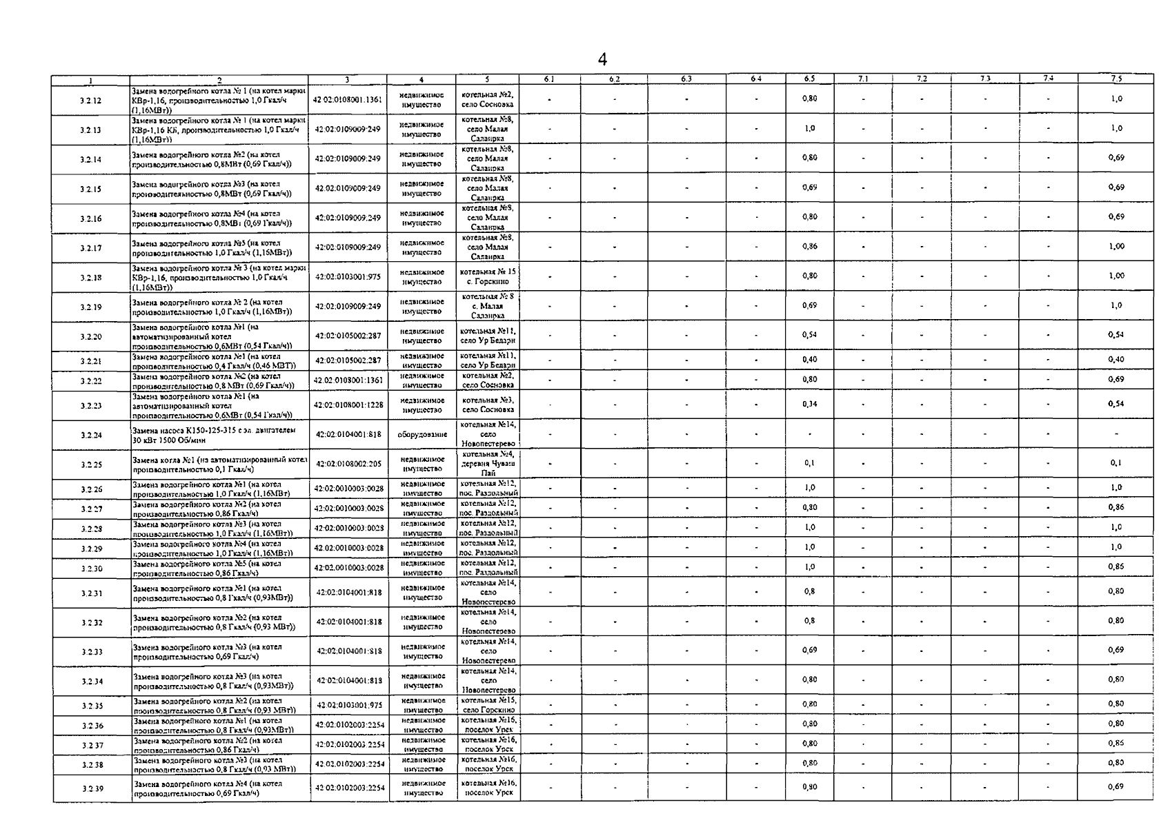
"О внесении изменений в постановление региональной энергетической комиссии Кемеровской области от 10.03.2020 № 27 "Об утверждении инвестиционной программы в сфере теплоснабжения ООО "Теплоресурс" на потребительском рынке Гурьевского муниципального округа на 2020 - 2030 годы"
(Зарегистрирован 21.11.2025 № 11772524224)
"О внесении изменений в постановление региональной энергетической комиссии Кемеровской области от 10.03.2020 № 27 "Об утверждении инвестиционной программы в сфере теплоснабжения ООО "Теплоресурс" на потребительском рынке Гурьевского муниципального округа на 2020 - 2030 годы"
(Зарегистрирован 21.11.2025 № 11772524224)
Номер опубликования: 4201202511250004
Дата опубликования:
25.11.2025
