Официальное опубликование правовых актов
ОФИЦИАЛЬНОЕ ОПУБЛИКОВАНИЕ
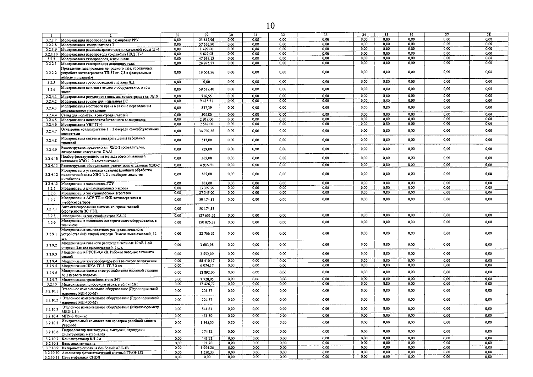
Постановление Региональной энергетической комиссии Кузбасса от 20.11.2025 № 345
"О внесении изменений в постановление Региональной энергетической комиссии Кузбасса от 30.11.2023 № 422 "Об утверждении АО "ЕВРАЗ ЗСМК" (филиал Западно-Сибирская ТЭЦ) инвестиционной программы в сфере теплоснабжения на 2024 - 2028 годы"
(Зарегистрирован 21.11.2025 № 11742524224)
Номер опубликования: 4201202511240022
Дата опубликования: 24.11.2025
Страница №10 из 14:
Увеличить