Официальное опубликование правовых актов
ОФИЦИАЛЬНОЕ ОПУБЛИКОВАНИЕ
Постановление Региональной энергетической комиссии Кузбасса от 20.11.2025 № 364
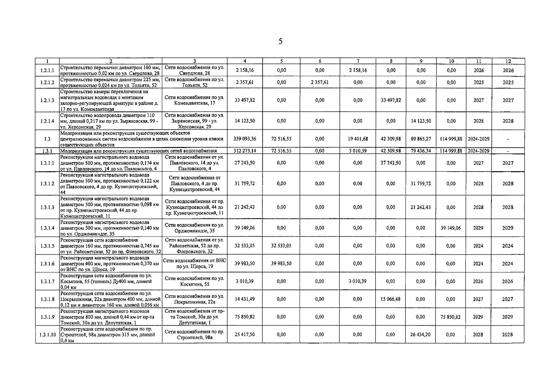
"О внесении изменений в постановление Региональной энергетической комиссии Кузбасса от 19.12.2023 № 681 "Об утверждении инвестиционной программы ООО "Водоканал" в сфере холодного водоснабжения и водоотведения на территории Новокузнецкого городского округа на 2024-2029 годы"
(Зарегистрирован 21.11.2025 № 11932524224)
Номер опубликования: 4201202511240019
Дата опубликования: 24.11.2025
Страница №5 из 20:
Увеличить