Официальное опубликование правовых актов
ОФИЦИАЛЬНОЕ ОПУБЛИКОВАНИЕ
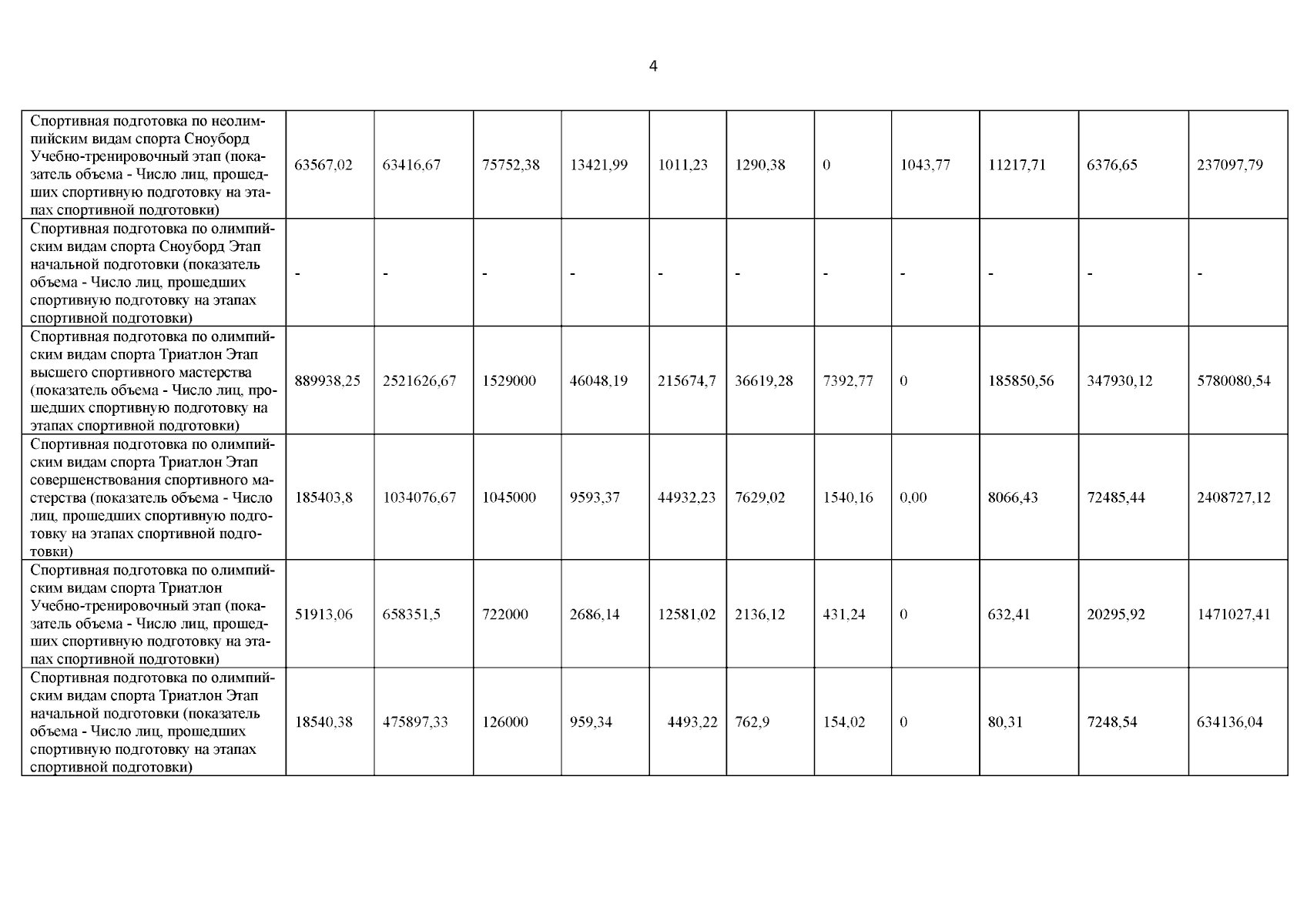
Приказ Министерства физической культуры и спорта Кузбасса от 15.10.2025 № 811-ОД
"О внесении изменений в приказ Министерства физической культуры и спорта Кузбасса от 20.03.2025 № 276-ОД (в ред. от 30.07.2025 № 644-ОД) "Об утверждении значений базовых нормативов затрат, значений отраслевых корректирующих коэффициентов и значений натуральных норм, необходимых для определения базовых нормативов затрат на оказание государственных услуг в сфере физической культуры и спорта, применяемых при расчете объема финансового обеспечения выполнения государственного задания на оказание государственных услуг государственными учреждениями, подведомственными Министерству физической культуры и спорта Кузбасса"
(Зарегистрирован 16.10.2025 № 00582514207)
Номер опубликования: 4201202510200002
Дата опубликования: 20.10.2025
Страница №4 из 59:
Увеличить