Официальное опубликование правовых актов
ОФИЦИАЛЬНОЕ ОПУБЛИКОВАНИЕ
Постановление Региональной энергетической комиссии Кузбасса от 07.11.2024 № 335
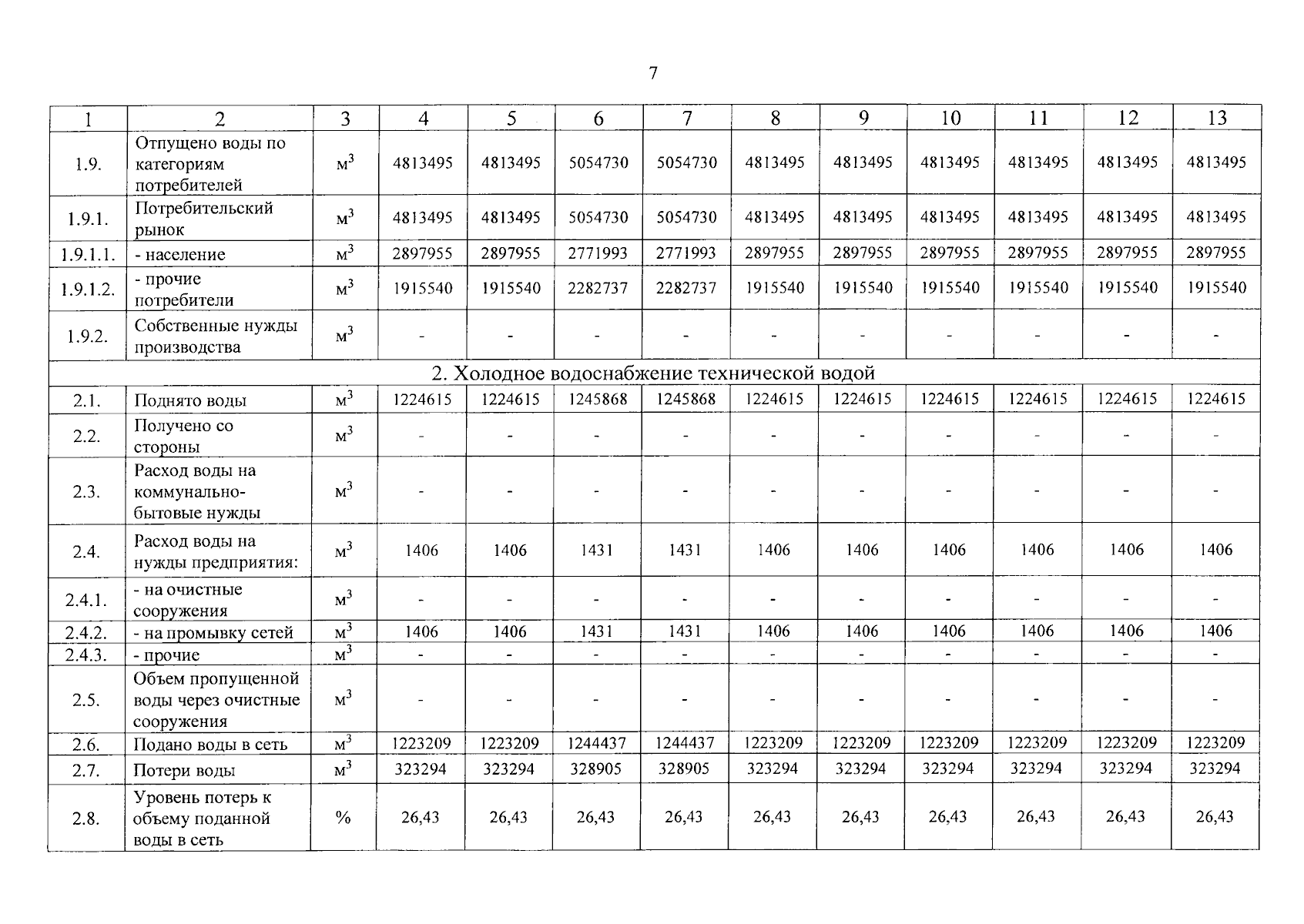
"О внесении изменений в постановление Региональной энергетической комиссии Кузбасса от 05.12.2023 № 486 "Об утверждении производственной программы в сфере холодного водоснабжения питьевой водой, технической водой, водоотведения и об установлении тарифов на питьевую воду, техническую воду, водоотведение АО "ПО Водоканал" (Прокопьевский городской округ)" в части 2025 года"
(Зарегистрирован 07.11.2024 № 03392424224)
Номер опубликования: 4201202411150007
Дата опубликования: 15.11.2024
Страница №7 из 21:
Увеличить