Официальное опубликование правовых актов
ОФИЦИАЛЬНОЕ ОПУБЛИКОВАНИЕ
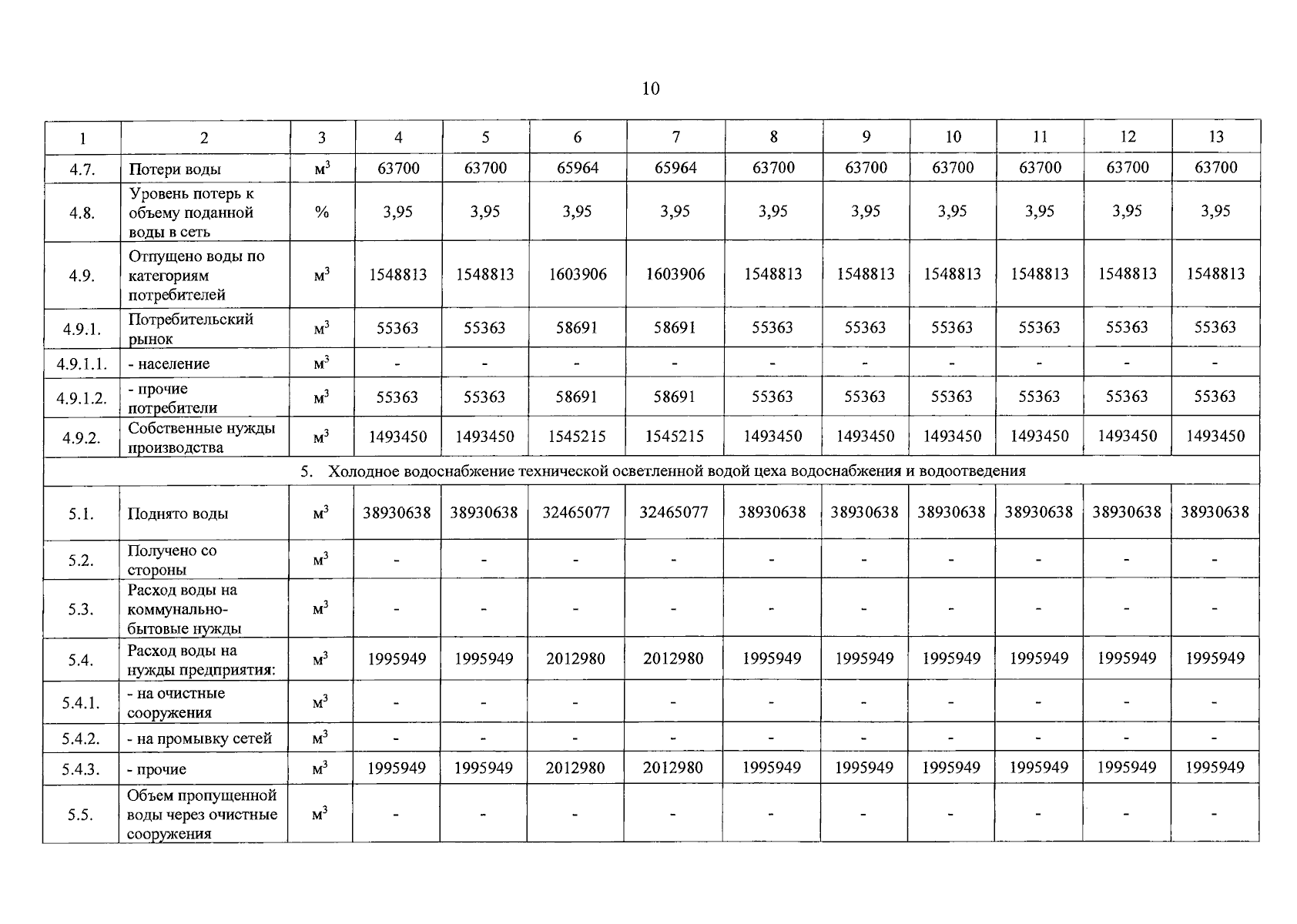
Постановление Региональной энергетической комиссии Кузбасса от 08.10.2024 № 239
"О внесении изменений в постановление Региональной энергетической комиссии Кузбасса от 23.11.2023 № 370 "Об утверждении производственной программы в сфере холодного водоснабжения, водоотведения и об установлении тарифов на питьевую воду, техническую воду, водоотведение АО "ЕВРАЗ Объединенный Западно-Сибирский металлургический комбинат" (Новокузнецкий городской округ)" в части 2025 года"
(Зарегистрирован 10.10.2024 № 02422424224)
Номер опубликования: 4201202410140007
Дата опубликования: 14.10.2024
Страница №10 из 44:
Увеличить