Официальное опубликование правовых актов
ОФИЦИАЛЬНОЕ ОПУБЛИКОВАНИЕ
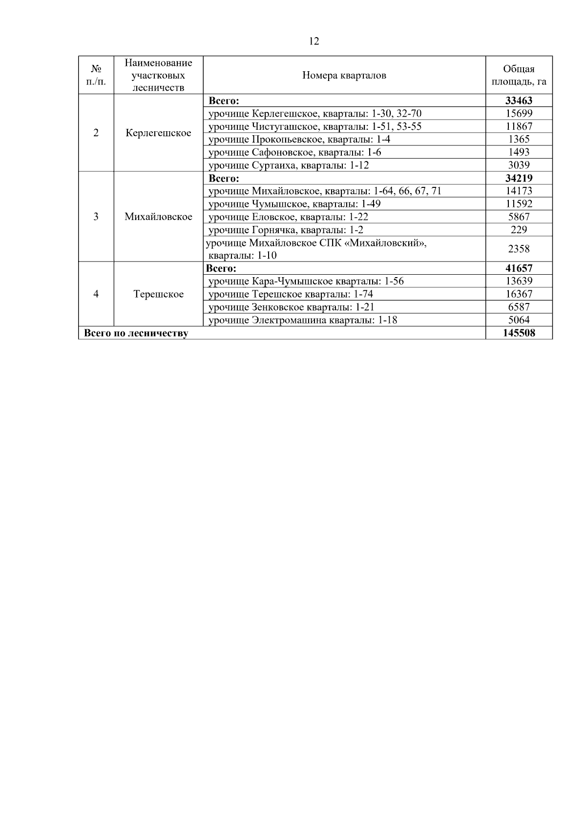
Распоряжение Департамента лесного комплекса Кузбасса от 21.08.2024 № 01-05/59
"О внесении изменений в приказ департамента лесного комплекса Кемеровской области от 20.11.2018 № 01-06/2725 "Об утверждении лесохозяйственных регламентов"
(Зарегистрирован 30.08.2024 № 00322434206)
Номер опубликования: 4201202409040001
Дата опубликования: 04.09.2024
Страница №12 из 268:
Увеличить