Официальное опубликование правовых актов
ОФИЦИАЛЬНОЕ ОПУБЛИКОВАНИЕ
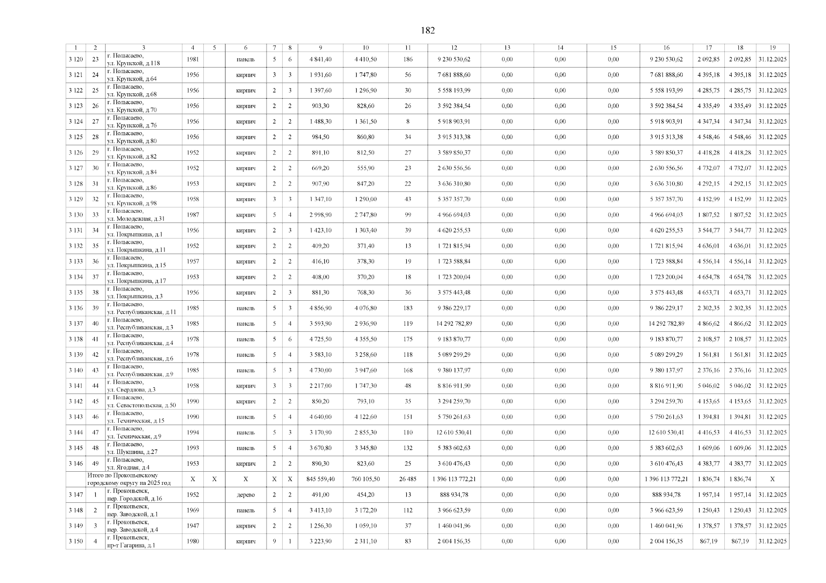
Приказ Министерства жилищно-коммунального и дорожного комплекса Кузбасса от 06.06.2024 № 87 "О внесении изменений в приказ Министерства жилищно- коммунального и дорожного комплекса Кузбасса от 20.12.2022 № 198 "Об утверждении краткосрочного плана реализации региональной программы капитального ремонта общего имущества в многоквартирных домах Кемеровской области — Кузбасса на 2023 — 2025 годы"
(Зарегистрирован 18.06.2024 № 00052414201)
Номер опубликования: 4201202406240007
Дата опубликования: 24.06.2024
Страница №182 из 446:
Увеличить