Официальное опубликование правовых актов
ОФИЦИАЛЬНОЕ ОПУБЛИКОВАНИЕ
Приказ Министерства физической культуры и спорта Кузбасса от 04.06.2024 № 523-ОД
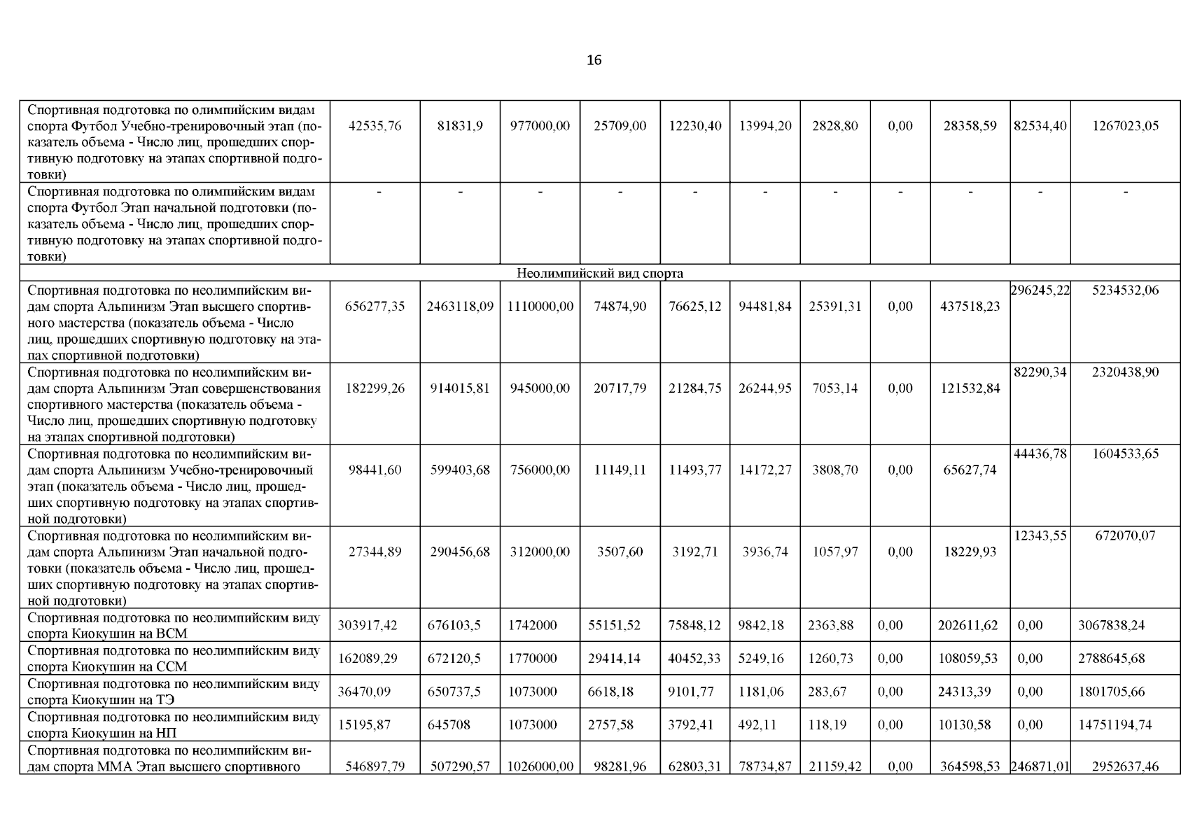
"Об утверждении значений базовых нормативов затрат, значений отраслевых корректирующих коэффициентов и значений натуральных норм, необходимых для определения базовых нормативов затрат на оказание государственных услуг, применяемых при расчете объема финансового обеспечения выполнения государственного задания на оказание государственных услуг государственными учреждениями, подведомственными Министерству физической культуры и спорта Кузбасса"
(Зарегистрирован 05.06.2024 № 00152414207)
Номер опубликования: 4201202406060004
Дата опубликования: 06.06.2024
Страница №16 из 903:
Увеличить