Официальное опубликование правовых актов
ОФИЦИАЛЬНОЕ ОПУБЛИКОВАНИЕ
Распоряжение Департамента лесного комплекса Кузбасса от 01.04.2024 № 01-05/35
"О внесении изменений в приказ департамента лесного комплекса Кемеровской области от 20.11.2018 № 01-06/2725 "Об утверждении лесохозяйственных регламентов"
(Зарегистрирован 04.04.2024 № 00052434206)
Номер опубликования: 4201202404120001
Дата опубликования: 12.04.2024
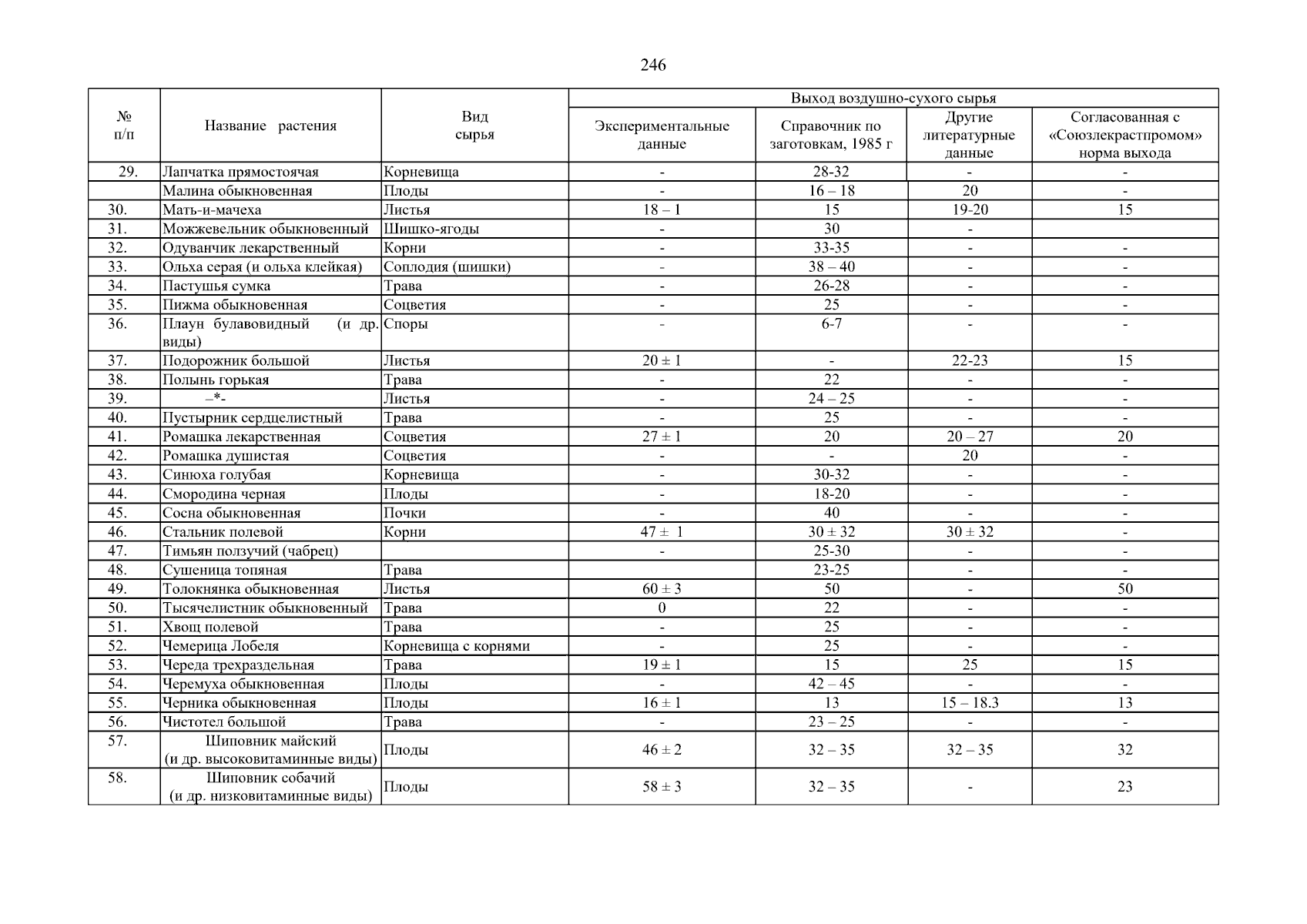
Страница №246 из 260:
Увеличить