Официальное опубликование правовых актов
ОФИЦИАЛЬНОЕ ОПУБЛИКОВАНИЕ
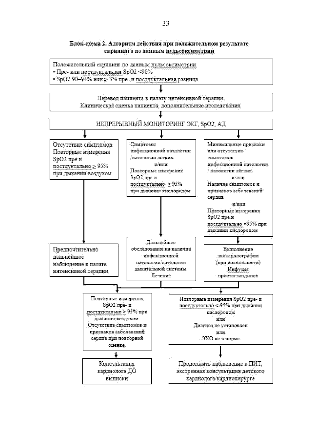
Приказ Министерства здравоохранения Кузбасса от 22.12.2023 № 1799
"О маршрутизации новорожденных детей при оказании специализированной медицинской помощи на территории Кемеровской области - Кузбасса"
(Зарегистрирован 26.12.2023 № 11072314209)
Номер опубликования: 4201202312270001
Дата опубликования: 27.12.2023
Страница №33 из 34:
Увеличить