Официальное опубликование правовых актов
ОФИЦИАЛЬНОЕ ОПУБЛИКОВАНИЕ
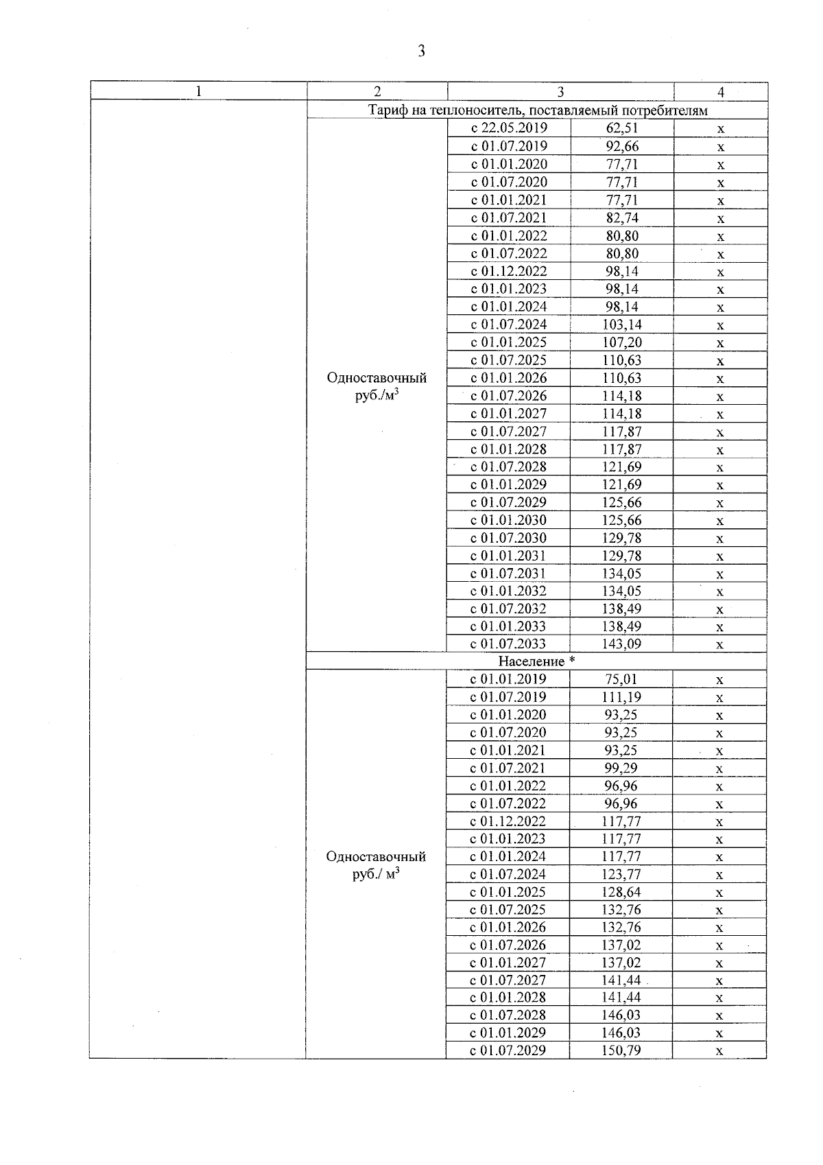
Постановление Региональной энергетической комиссии Кузбасса от 08.11.2023 № 240
"О внесении изменений в постановление региональной энергетической комиссии Кемеровской области от 21.05.2019 № 138 "Об установлении долгосрочных параметров регулирования и долгосрочных тарифов на теплоноситель, реализуемый ООО "ЭнергоКомпания" на потребительском рынке пгт. Краснобродский Прокопьевского муниципального округа, на 2019-2033 годы", в части 2024 года"
(Зарегистрирован 08.11.2023 № 05242324224)
Номер опубликования: 4201202311170003
Дата опубликования: 17.11.2023
Страница №3 из 4:
Увеличить