Официальное опубликование правовых актов
ОФИЦИАЛЬНОЕ ОПУБЛИКОВАНИЕ
Постановление Региональной энергетической комиссии Кузбасса от 28.09.2023 № 129
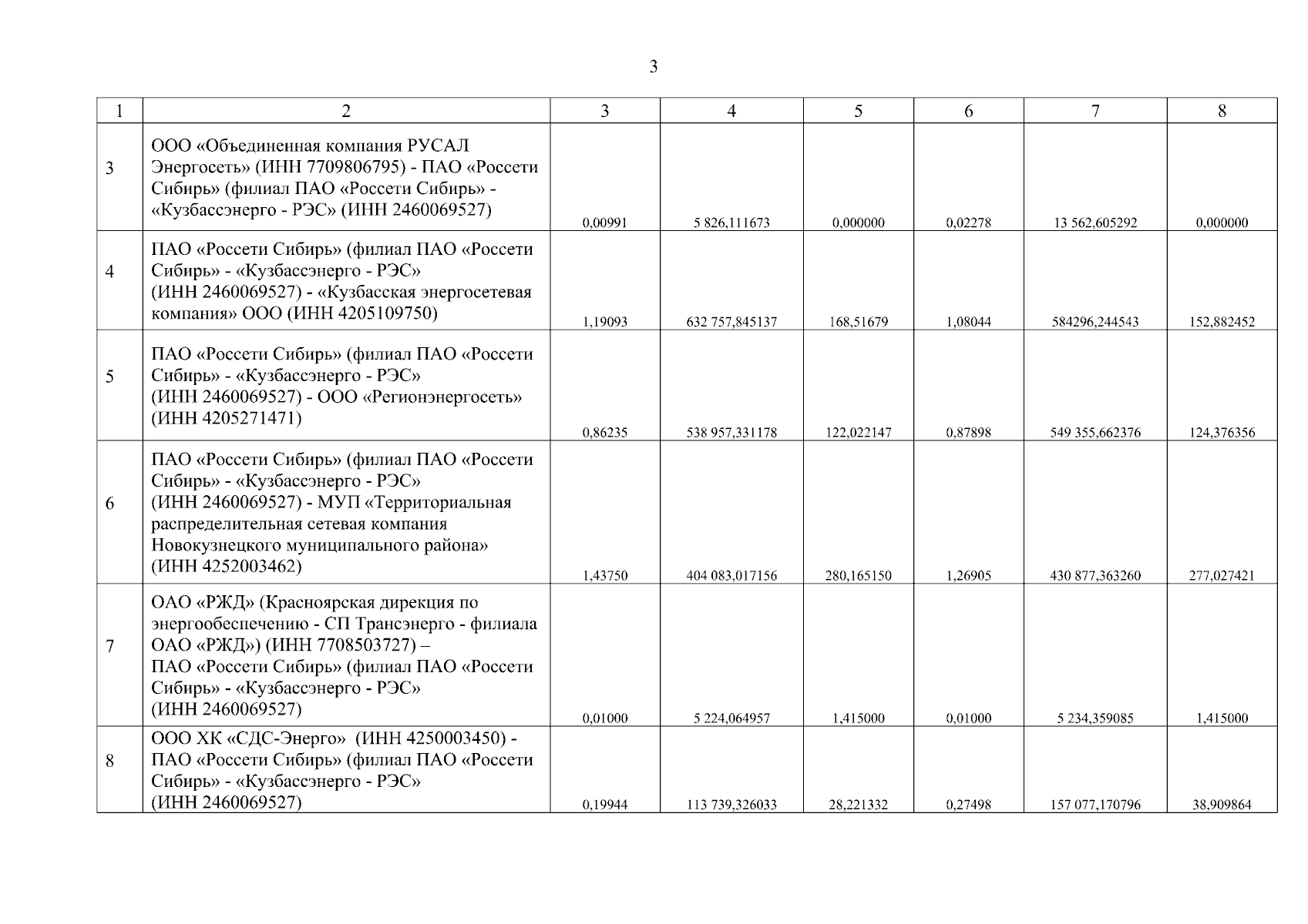
"Об установлении индивидуальных тарифов на услуги по передаче электрической энергии для взаиморасчетов ПАО "Россети Сибири" (филиал ПАО "Россети Сибирь" - "Кузбассэнерго - РЭС") с сетевыми организациями Кемеровской области - Кузбасса на 2022 год"
(Зарегистрирован 28.09.2023 № 03772324224)
Номер опубликования: 4201202310020014
Дата опубликования: 02.10.2023
Страница №3 из 5:
Увеличить