Официальное опубликование правовых актов
ОФИЦИАЛЬНОЕ ОПУБЛИКОВАНИЕ
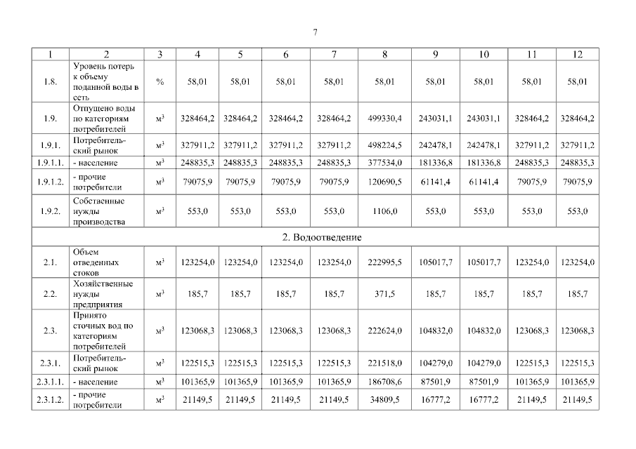
Постановление Региональной энергетической комиссии Кузбасса от 27.06.2023 № 66
"О внесении изменений в постановление Региональной энергетической комиссии Кузбасса от 17.12.2020 № 600 «Об утверждении производственной программы в сфере холодного водоснабжения питьевой водой, водоотведения и об установлении тарифов на питьевую воду, водоотведение МУП Гурьевского муниципального района «УК ЖКХ» (Гурьевский муниципальный округ)» в части 2024 года"
(Зарегистрирован 27.06.2023 № 02102324224)
Номер опубликования: 4201202307040001
Дата опубликования: 04.07.2023
Страница №7 из 19:
Увеличить